Как работает Интернет
- Использование CSS для решения общих проблем
- Использование HTML для решения общих задач
- Решите общие проблемы в вашем JavaScript-коде
Эта статья о том, что такое Интернет и как он работает.
| Необходимые знания: | Отсутствуют, но мы рекомендуем сначала прочитать Статью о постановке целей проекта. |
|---|---|
| Цель: | Изучить основы технической инфраструктуры Всемирной Паутины (Веба) и понять разницу между ней и Интернетом. |
Резюме
Интернет является основой Всемирной Паутины, технической инфраструктурой, благодаря которой она и существует. По своей сути, Интернет — очень большая сеть компьютеров, которые могут взаимодействовать друг с другом.
История интернета не до конца ясна. Проект по созданию интернета был начат в 1960-х годах как исследовательский проект при поддержке министерства обороны США. Затем, в 1980-х эволюционировал в сеть, которую поддерживали и развивали множество университетов и частных компаний. Технологии, лежащие в основе интернета, продолжали развиваться со временем, но основной принцип работы не сильно изменился: Интернет — это способ подключить компьютеры в единую сеть и убедиться, что при любых обстоятельствах они найдут способ связаться друг с другом.
Активное изучение
- Как работает интернет за 5 минут (англ.): 5-минутное видео для понимания базовых принципов работы Интернета (автор Aaron Titus).
- Как работает интернет? (англ.): подробное, хорошо визуализированное 9-минутное видео.
Погружаемся глубже
>Простая сеть
Для того, чтобы два компьютера могли обмениваться информацией, необходимо создать между ними соединение. Оно может быть реализовано проводным (обычно с помощью Ethernet-кабеля) или беспроводным способом (например, с помощью Wi-Fi или Bluetooth). Современные компьютеры поддерживают любой из этих способов связи.
Примечание: В этой статье мы будем говорить только о проводном способе подключения, но беспроводные сети работают аналогичным образом.

Таким способом можно подключить более двух компьютеров, но с каждым новым это становится всё сложнее. Если хочется подключить, скажем, 10 компьютеров, понадобится 45 кабелей и 9 сетевых карт в каждом компьютере!

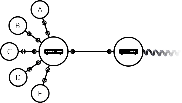
Чтобы решить эту проблему, каждый компьютер в сети подключается к специальному маленькому компьютеру, который называют маршрутизатором. Маршрутизатор исполняет только одну роль: как сигнальщик на железной дороге он следит за тем, чтобы пакет, отправленный одним компьютером достиг пункта назначения. Чтобы отправить сообщение компьютеру B, компьютер A сначала должен отправить его маршрутизатору, который перенаправит его компьютеру B и проконтролирует, чтобы данные не попали компьютеру C.
С добавлением маршрутизатора в сеть из 10 компьютеров потребуется только 10 кабелей (каждый кабель соединяет маршрутизатор с одним из компьютеров).

Сеть сетей
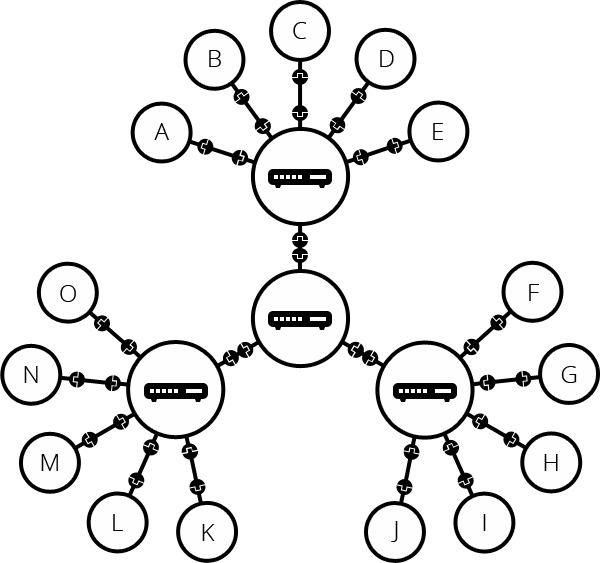
Но что делать, если нужно объединить в сеть сотни, тысячи или миллиарды компьютеров? Конечно, один маршрутизатор не справится с этой задачей. Но поскольку маршрутизатор — это обычный компьютер, то ничто не мешает соединить друг с другом два маршрутизатора? Ничего, поэтому так и делают.

Подключая компьютеры к маршрутизаторам, а маршрутизаторы к маршрутизаторам, можно увеличивать сеть до сколь угодно больших размеров.

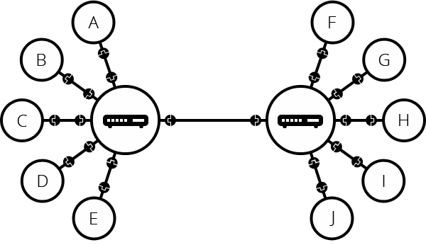
Такая сеть уже очень похожа на то, что мы называем Интернетом, но мы что-то упустили. Наша сеть построена для решения только наших задач. Но кроме неё есть и другие сети: наши друзья, соседи — кто угодно может создать свою сеть компьютеров. Как же их объединить? Ведь невозможно протянуть кабели между нашим домом и всеми остальными сетями в мире. Чтобы решить эту проблему, можно воспользоваться уже существующими кабельными сетями, например, электрическими или телефонными. Телефонная инфраструктура уже соединяет ваш дом со всем остальным миром, так что он идеально подходит для решения этой задачи. Чтобы подключить нашу сеть к глобальной сети с помощью телефонного провода, понадобится специальное оборудование, которое называется модем. Модем кодирует информацию, поступающую из компьютерной сети в формат, который можно передавать через телефонную сеть, и обратно.

Итак, мы подключились к телефонной сети. Следующий шаг — передать сообщение из нашей сети в сеть, с которой мы хотим связаться. Чтобы сделать это, мы должны подключить нашу сеть к провайдеру услуг Интернета (Internet Service Provider, ISP). Провайдер — это компания, которая обслуживает специальные маршрутизаторы, которые подключены друг к другу и связаны с маршрутизаторами других провайдеров. Таким образом, наше сообщение, пройдя транзитом через сеть нескольких провайдеров, достигнет сеть назначения. Интернет — это сеть сетей, которая объединяет в себе всю вышеперечисленную инфраструктуру.

Поиск компьютера
Чтобы послать сообщение какому-то компьютеру, необходимо как-то обратиться к нему, выделить среди других.
Поэтому каждый компьютер, подключённый к сети, имеет свой уникальный адрес для связи: этот адрес называют IP-адресом (IP — сокращение для Internet Protocol, протокол интернета).
Этот адрес записываются в виде четырёх чисел, разделённых точками, например: 192.0.2.172.
Такие адреса отлично подходят для компьютеров, но людям очень сложно их запоминать.
Чтобы упростить себе жизнь, мы можем присвоить каждому IP-адресу псевдоним с понятным для человека именем.
Такой псевдоним называют доменным именем.
Например, google.com — доменное имя, которое (на момент написания этой статьи, IP-адреса доменов могут меняться) является псевдонимом IP-адреса 142.250.190.78.
Использование доменного имени — самый простой способ обратиться к компьютеру в интернете.

Интернет и веб
Как вы уже заметили, когда мы просматриваем Всемирную паутину с помощью браузера, обычно мы используем доменное имя, чтобы обратиться к веб-сайту. Означает ли это, что Интернет и Веб — это одно и то же? Ответ не так прост. Мы уже знаем, что Интернет — это техническая основа, которая позволяет миллиардам компьютеров связываться друг с другом. Некоторые из них (называемые веб-серверами) могут отправлять сообщения, распознаваемые браузерами. Интернет — это инфраструктура, а Веб — это сервис, построенный на основе этой инфраструктуры. Стоит отметить, что кроме Веба есть и другие сервисы, построенные на базе Интернета, например, электронная почта или IRC.
Интранет и Экстранет
Интранет — это частная сеть, доступ к которой разрешён только членам определённой организации. Такая сеть обычно используется для предоставления участникам безопасного доступа к общим ресурсам, совместной работы и общения. Например, во внутренней сети организации могут размещаться веб-страницы для обмена информацией об отделе или команде, общие диски для управления документами и файлами, порталы для выполнения задач делового администрирования и инструменты для совместной работы, такие как базы знаний, доски обсуждений и системы обмена сообщениями.
Экстранет очень похожи на Интранет, за исключением того, что они открывают всю частную сеть или её часть для совместного использования и работы с другими организациями. Обычно они используются для безопасного и надёжного обмена информацией с клиентами и заинтересованными сторонами, которые тесно сотрудничают. Часто их функции аналогичны тем, которые предоставляет интранет: обмен информацией и файлами, инструменты для совместной работы, доски обсуждений и т.д.
И интранеты, и экстранеты работают в той же инфраструктуре, что и Интернет, и используют те же протоколы. Таким образом, авторизованные участники могут получить к ним доступ из разных физических местоположений.
