インターネットの仕組み
この記事はインターネットの仕組みとどのように動いているかを説明します。
| 前提条件: | ありませんが、最初にプロジェクトの目標を設定することの記事を先に読むことをおすすめします。 |
|---|---|
| 目標: | ウェブの技術インフラストラクチャの基礎と、インターネットとウェブの違いについて学びます。 |
概要
インターネットはウェブのバックボーンであり、ウェブを可能にする技術基盤です。インターネットは、最も簡単に言うと、すべてが一元的に通信を行う大規模なコンピューターネットワークです。
インターネットの歴史は、やや不明瞭です。 1960 年代に米軍の資金援助を受けて始まった調査プロジェクトに始まり、多くの大学と民間企業の支援を受けて 1980 年代に公共インフラへと発展しました。インターネットを支える様々なテクノロジーは時間の経過とともに進化してきましたが、大きくは変わっていません。インターネットは、コンピューターを一元的に接続し、何が起きても接続を維持する方法を見つけます。
アクティブラーニング
- How the internet Works in 5 minutes: アーロン・タイタスによるインターネットの基礎を理解するための 5 分間の動画。
- How does the Internet work? 詳細をよく視覚化した 9 分間の映像。
より深く掘り下げる
>単純なネットワーク
2 つのコンピューターが通信を必要とする時、物理的に (通常はイーサネットケーブル) や無線 (Wi-Fi や Bluetooth など) で接続する必要があります。現在のすべてのコンピューターでは通信を維持することができます。
メモ: 残りの記事では物理ケーブルのみ説明を行いますが、無線ネットワークでも同じように動きます。

このようなネットワークでは 2 つのコンピューターという制限はありません。好きなだけ多くのコンピューターに接続することができます。しかしすぐに複雑になります。例えば 10 台のコンピューターに接続しようとした場合、 45 本のケーブルとそれぞれのコンピューターに 9 つの端子が必要になります。

この問題を解決するために、ネットワーク上のそれぞれのコンピューターは「ネットワークスイッチ」(略して「スイッチ」)と呼ばれる特別な小型コンピューターに接続されています。このスイッチは、指定されたコンピューターから送信されたメッセージが、その出力先であるコンピューターだけに確実に届くようにする、という 1 つの仕事しか行いません。コンピューター B にメッセージを送信するには、コンピューター A はそのメッセージをスイッチに送信し、スイッチはメッセージをコンピューター B に転送します。コンピューター B は、他のコンピューター宛てのメッセージは取得しません。また、コンピューター B 宛てのメッセージは、ローカルエリアネットワーク上の他のコンピューターには到達しません。
一度スイッチをシステムに追加すると、ネットワークに繋がる 10 個のコンピューターは 10 個のケーブルが必要です。またそれぞれのコンピューターに一つの端子が必要でスイッチには 10 個の端子が必要です。

ネットワークのネットワーク
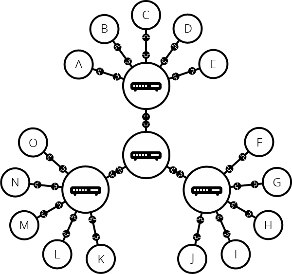
ここまでは順調ですね。しかし何百、何千、何十億ものコンピューターを接続する場合はどうですか?もちろん、 1 台のスイッチではそれほど規模を拡大することはできませんが、注意深く読んだ場合、スイッチは他のコンピューターと同じようにコンピューターと呼ばれており、 2 台のスイッチを接続するのに問題はないのでしょうか?何も問題はありません。では、繋いでみましょう。

スイッチを無限に接続して、次のようなネットワークを形成できると想像できるでしょう。

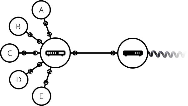
実際には、これは多くの技術的な問題を引き起こします。パケットが通過しなければならないスイッチが多いほど、出力先に到達するのに時間がかかります。また、スイッチのツリーだけを持つことはできません。なぜなら、一つのスイッチが失敗すると、多くの端末が切断されてしまうからです。この問題を解決するために、それぞれのローカルネットワークはできるだけ小さくし、これらのローカルネットワークをルーターと呼ばれる別個の機器を使用して接続します。ルーターは、ネットワーク間でメッセージを転送する方法を知っているコンピューターです。ルーターは郵便局と似ています。パケットが到着すると、宛先アドレスを読み取り、中継層を経由せずに、適切な宛先に直接パケットを転送します。
このようなネットワークは、私たちがインターネットと呼ぶものにとても近いものです。必要なのは、これらのルーターをすべて接続するための物理的な媒体(ケーブル)だけです。幸い、このようなインフラはインターネットよりも前から存在していました。それは電話網です。ネットワークと電話網につなぐには、モデムと呼ばれる特別な装置が必要です。このモデムは、私たちのネットワークからの情報を、電話網が管理できる情報に変換し、その逆もまた可能です。

ご家庭の市販ルーターは、スイッチ、ルーター、モデムが 1 台の端末に組み合わされたものである可能性が高いことにご注意ください。
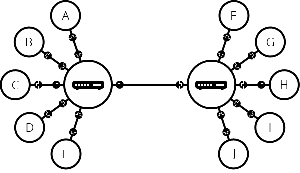
電話網に接続します。次のステップは、私たちのネットワークから接続できるネットワークにメッセージを送信することです。そのために、ネットワークをインターネットサービスプロバイダー(Internet Service Provider、以下 ISP)に接続します。 ISP は、すべてをリンクする特別なルーターを管理する会社で、他の ISP のルーターにもアクセスできます。 したがって、私たちのネットワークからのメッセージは、ISP ネットワークのネットワークを通して宛先のネットワークに運ばれます。インターネットは、このネットワーク全体のインフラで構成されています。

コンピューターを探す
コンピューターにメッセージを送りたい場合、どれかを特定する必要があります。 したがって、ネットワークにリンクしたコンピューターは、自身を識別するための固有のアドレスがあり、これは「IP アドレス」(IP はインターネットプロトコルを意味します) と呼ばれます。これは、ドットで区切られた一連の 4 つの数字からなるアドレスです (例 : 192.0.2.172)。
それはコンピューターにとって完璧ですが、このようなアドレスを人間が覚えることは難しいです。そこで簡単にするために、ドメイン名と呼ばれる人間がわかりやすい名前で IP アドレスを置き換えることができます。例えば、 google.com はトップの IP アドレス 142.250.190.78 で使用されるドメイン名です。ドメイン名を使用することは、インターネット経由でコンピューターにアクセスする最も簡単な方法です。

インターネットとウェブ
ご存知のとおり、ウェブブラウザーでウェブを閲覧する場合、通常はドメイン名を使用してウェブサイトにアクセスします。これはインターネットとウェブが同じであることを意味するのでしょうか?実はそれほど単純な話ではありません。私たちが見てきたように、インターネットは何十億ものコンピューターをすべて接続できる技術インフラです。これらのコンピューターの中には、一部のコンピューター (ウェブサーバーと呼ばれる) がウェブブラウザーに分かりやすいメッセージを送信することができます。インターネットはインフラですが、ウェブはインフラの上に構築されたサービスです。 電子メールや IRC など、インターネット上に構築されたいくつかのサービスがあります。
イントラネットとエクストラネット
イントラネットは、特定の組織のメンバーに限定されたプライベートなネットワークです。 一般的には、メンバーが共有リソースに安全にアクセスし、コラボレーションやコミュニケーションを行うためのポータルを提供するために使用されます。 例えば、ある組織のイントラネットでは、部門やチームの情報を共有するためのウェブページ、重要文書やファイルを管理するための共有ドライブ、ビジネス管理タスクを実行するためのポータル、Wiki、ディスカッションボード、メッセージングシステムなどのコラボレーションツールをホストする場合があります。
エクストラネットはイントラネットとよく似ていますが、プライベートネットワークの全部または一部を開放して、他の組織との共有やコラボレーションを可能にするものです。 これは、通常、ビジネスと密接に協力している顧客や関係者と安全かつセキュアに情報を共有するために使用されます。 多くの場合、イントラネットと同様の機能(情報やファイルの共有、コラボレーションツール、ディスカッションボードなど)を提供します。
イントラネットもエクストラネットも、インターネットと同じ種類のインフラストラクチャ上で動作し、同じプロトコルを使用します。 そのため、権限のあるメンバーであれば、物理的に異なる場所にいてもアクセスすることができます。
